در مواقعی که اگر بخواهیم ارتباط بین دو فیلد را بررسی کنیم که یکی از آن دو کمی است و دیگری فیلد کیفی ای است که دو حالت دارد از آزمون t مستقل استفاده خواهیم کرد.
در مثال دیتاست Breast Cancer فیلد کیفی Inpos دو حالت Yes و No که این دو مستقل نیز هستند دارد و فیلد کمی دیگری به نام time وجود دارد، در این بخش از درس به بررسی این موضوع می پردازیم.
اگر بخواهیم مقایسه میانگین ها را انجام بدهیم
اگربخواهیم ناحیه رد را درتوزیع t مشخص نماییم به دو سر نمودار باید مراجعه کنیم و چون α=0.05 است برای دو سر باید آلفا تقسیم بر 2 شود چراکه توزیع t یک توزیع متقارن است.
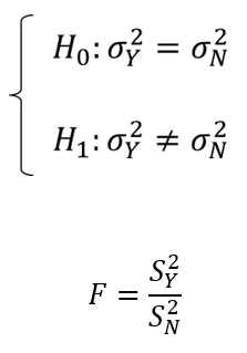
نکته: برای انجام آزمون t مستقل باید واریانس بین دو گروه Y و N یکسان و همگن باشند و قبل از انجام این آزمون فرض باشد آزمون فرض برابری واریانس ها انجام شود و این تست با نام Levene test انجام می شود.
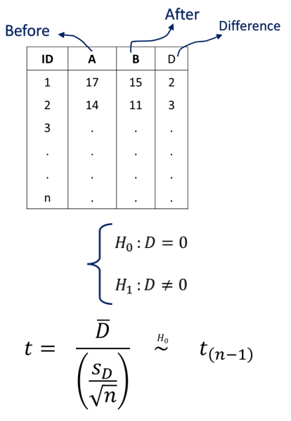
مفاهیم آزمون t جفتی
فرض کنیم دو گروهی A و B را به عنوان دو گروه غیر مستقل از داده در اختیار داریم که گروه B حاصل از مداخله یک فاکتور بر روی گروه A است.
ارتباط بین یک فیلد کمی با یک فیلد کیفی دو حالته با این فرض که اندازه گیری های تکراری (قبل و بعد مداخله) وجود دارد








